Три насыщенных дня, более 1500 участников, сотни докладов и свежих идей: INFOSTART TECH EVENT 2025 вновь объединил профессионалов 1С-сообщества. Участники поделились своими впечатлениями, поставили оценки выступлениям и выбрали ТОП-20 докладов.
Немного статистики
Должности участников (1532 голоса)
Основная часть аудитории технической конференции – это традиционно программисты, разработчики и руководители группы разработки: 52% от общего числа участников. Также на TECH EVENT собралось немало аналитиков (95 голосов) и ИТ-директоров (79 голосов).
Широкая география участников (1531 голос)

Большинство гостей прибыло из Москвы. В пятерку крупнейших городов по числу участников также вошли Санкт-Петербург, Новосибирск, Екатеринбург и Владивосток.
Приятно отметить, что даже участники из регионов с большой разницей во времени посетили наше мероприятие. Это подтверждает, что INFOSTART TECH EVENT собирает профессионалов со всей России и СНГ.
Качество информационно-раздаточного материала (763 голоса)

Оценку «5» поставили 83,36% участников, а еще 14,29% отметили материалы на четверку.
Оценка мероприятию в целом (763 голоса)
Событие получило высший балл от 80,08% участников, еще 18,09% оценили его на 4 из 5. Это доказывает, что INFOSTART TECH EVENT остается одним из самых значимых мероприятий в сфере 1С и ИТ.
ТОП-20 докладов
Участники голосовали за самые вдохновляющие и полезные выступления. По итогам подсчета был сформирован рейтинг из 20 лучших докладов. Авторы этих выступлений получают дополнительное вознаграждение за тщательную подготовку, актуальность тем и профессиональную подачу материала.
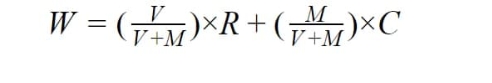
Рейтинг лучших докладов рассчитывается по Байесовской формуле:

где:
W = взвешенный рейтинг
R = рейтинг доклада
V = количество голосов за доклад
M = среднее количество голосов для участия в рейтинге
C = средний рейтинг докладов
Если вы участвовали в конференции офлайн, пройдите опрос, чтобы получить доступ к видеозаписям докладов. Также можно купить видеозаписи всех 117 выступлений с презентациями спикеров.
Вперед – к INFOSTART COMMUNITY EVENT 2026
Следующая конференция INFOSTART COMMUNITY EVENT 2026 будет посвящена ключевой задаче любой команды – эффективному взаимодействию. На этом событии разработчики, аналитики и руководители смогут учиться понимать друг друга и развиваться вместе.
Формат объединяет профессионалов разных направлений: для каждой роли предусмотрены отдельные секции, а также общие треки, помогающие выстроить единое понимание задач бизнеса.
Те, кто уже бывал на мероприятиях Инфостарта, знают: вырваться из рутины, пообщаться с коллегами из бигтех-компаний и обменяться опытом – значит, получить мощный заряд идей и мотивации.
Пока идет планирование бюджетов на 2026 год, самое время забронировать участие по выгодным тарифам 2025 года!

 
								 
													 
													 
													 
													 
													 
													 
													